首页 | 了解HASUC | HASUC产品 | 产品咨询 | HASUC最新动态| HASUC资质| 技术文章| HASUC荣誉客户 | 索要HASUC样本| HASUC营销网络| 联系我们 | HASUC国际站
 
 
      全国免费客服热线: 400-880-6667
上海产品服务中心: TEL:021-5168-8813 FAX:021-5168-6613
 
企业新闻
 
上海干燥箱设备厂家摘录的水煤浆的燃料特性文章
点击次数:1803 发布时间:2014-7-25
 

    上海干燥箱设备厂家摘录的水煤浆的燃料特性文章。

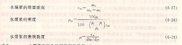
    水煤浆的燃料特性:作为一种煤基的液体燃料,水煤浆既具有煤的一些特性,又具有一些液体燃料才有的特性,水煤浆主要的特性包括物理性质、流变特性、稳定性和雾化特性。

    水煤浆的物理性质:水煤浆是一种混合燃料,和其他单相燃料一样,水煤浆也有密度、黏度、比热容和热导率等物理性质,除了这些,还有浓度。值得注意的是,水煤浆不是牛顿流体,是宾汉流体,因此在研究时引入了表观黏度的概念,表观黏度的定义式与牛顿流体的黏度定义式相同,干燥箱为壁面处剪切应力与壁面处速度变化率的比值,下面是水煤浆质量浓度、密度和表观黏度的定义式。



    上海和呈仪器制造有限公司Shanghai Hasuc Instrument Manufacture Co.,Ltd

http://www.hasuc.cn

http://www.hasuc.cc

http://www.shlab17.com

http://www.4008806667.com

http://www.shhasuc.com

http://www.dryexpo.com

http://www.5911718.com

http://www.dry17.com

http://www.5921718.com

办公地址:上海市奉贤区南桥镇翡翠国际广场1号楼1020
工厂地址:上海浦卫公路6955号
总机电话:021-51688813
直线电话:021-67186861/57188687 /60457408 /60457409
总机传真:021-51686613
直线传真:021-57188687-806
自动传真:021-51686613
人工传真:021-57188687-806
企业QQ:400-880-6667
 
 
 
HASUC帮助
 
 
 
 
使用指南
产品询价
产品订购
 
 
配送支付
付款方式
配送方式
  
  
售后服务
货物签收与拒收
退换货原则
  
联系我们
诚招代理商
联系我们
  
  
 
 
  友情链接  
 
恒温箱
高低温试验箱
鼓风干燥箱
高温烘箱
干燥箱
热风循环烘箱
恒温恒湿箱
工业烤箱
工业烘箱
烘箱
真空干燥箱
恒温恒湿箱
工业烘箱
恒温恒湿试验箱
高低温冲击试验箱
高低温箱
版权所有:上海和呈仪器制造有限公司 © 2005-2010 沪ICP备09009017号-7